
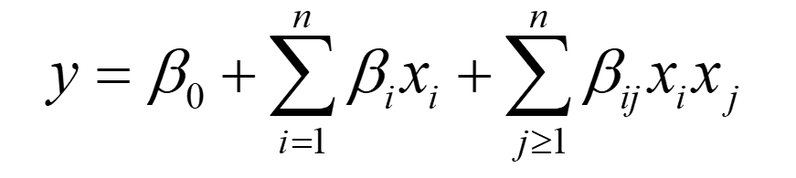
代理模型简述
三层框架动力模型修正算例
有限元模型参数及仿真结果
表1各构件截面尺寸
| 构件名称 | 截面尺寸(mm × mm) |
|---|---|
| X 向主梁 | 250 × 500 |
| Y 向主梁 | 250 × 600 |
| 1-2 层柱 | 600 × 600 |
| 3 层柱 | 500 × 500 |
表2 有限元模型材料参数
| 构件名称 | 弹性模量 / MPa | 密度 /(kg/m³) |
|---|---|---|
| 横梁 | 20000 | 2403 |
| 1-2 层柱 | 39000 | 2403 |
| 3 层柱 | 32000 | 2403 |
有限元模型前五阶固有频率如表3所示、对应的模态振型如表4所示:
表3有限元模型固有频率
| 第 1 阶 | 第 2 阶 | 第 3 阶 | 第 4 阶 | 第 5 阶 | |
|---|---|---|---|---|---|
| 固有频率 | 31.695 | 36.46 | 41.228 | 45.705 | 102.47 |
表4有限元模型前五阶振型向量
| 节点编号 | 第 1 阶 | 第 2 阶 | 第 3 阶 | 第 4 阶 | 第 5 阶 |
|---|---|---|---|---|---|
| 3 | -0.2350 | -0.2307 | 0.2365 | -0.2255 | 0.003696 |
| 6 | -0.1403 | -0.1436 | 0.1452 | -0.1436 | 0.002224 |
| 13 | -0.04673 | -0.0500 | 0.0495 | -0.0508 | 0.001078 |
| 14 | 0 | 0 | 0 | 0 | 0 |
试验参数及仿真结果
表5 试验模型材料参数
| 构件名称 | 弹性模量 / MPa | 密度 /(kg/m³) |
|---|---|---|
| 横梁 | 17500 | 2403 |
| 1-2 层柱 | 37375 | 2403 |
| 3 层柱 | 34125 | 2403 |
试验模型前五阶固有频率如表6所示、对应的模态振型如表7所示:
表6有限元模型固有频率
| 第 1 阶 | 第 2 阶 | 第 3 阶 | 第 4 阶 | 第 5 阶 | |
|---|---|---|---|---|---|
| 固有频率 | 30.435 | 34.956 | 39.575 | 43.584 | 99.907 |
表7有限元模型前五阶振型向量
| 节点编号 | 第 1 阶 | 第 2 阶 | 第 3 阶 | 第 4 阶 | 第 5 阶 |
|---|---|---|---|---|---|
| 3 | -0.2356 | -0.2312 | -0.2394 | 0.2285 | 0.003934 |
| 6 | -0.1400 | -0.1435 | -0.1463 | 0.1449 | 0.002533 |
| 13 | -0.0464 | -0.0496 | -0.0495 | 0.05092 | 0.001230 |
| 14 | 0 | 0 | 0 | 0 | 0 |
对有限元模型以及试验模型进行模态匹配,匹配结果如下表8所示:
表8 有限元模型以及试验模型进行模态匹配
| 匹配后阶数 | 有限元阶数 | 试验阶数 | 仿真频率/Hz | 试验频率/Hz | 频率相对误差/% | MAC系数(Z向) |
|---|---|---|---|---|---|---|
| 1 | 1 | 1 | 31.695 | 30.44 | 4.14% | 1.0000 |
| 2 | 2 | 2 | 36.46 | 34.96 | 4.30% | 1.0000 |
| 3 | 3 | 3 | 41.228 | 39.58 | 4.18% | 1.0000 |
| 4 | 4 | 4 | 45.705 | 43.58 | 4.87% | 1.0000 |
| 5 | 5 | 5 | 102.47 | 99.91 | 2.57% | 0.9990 |
模型修正
表9 三层框架模型待修正参数及其可行域
| 因素编号 | 变量名称 | 变化范围 |
|---|---|---|
| 1 | 梁弹性模量 | [0.80,1.20] |
| 2 | 1 - 2 层柱弹性模量 | [0.80,1.20] |
| 3 | 第 3 层柱弹性模量 | [0.80,1.20] |
其中试验设计见下表10:
表10 三层混凝土框架结构试验设计
| 试验号 | 因素 1 | 因素 2 | 因素 3 |
|---|---|---|---|
| 1 | 1.2 | 0.8 | 1 |
| 2 | 0.8 | 0.8 | 1 |
| 3 | 1 | 1.2 | 1.2 |
| 4 | 1 | 0.8 | 0.8 |
| 5 | 0.8 | 1 | 1.2 |
| 6 | 1.2 | 1 | 1.2 |
| 7 | 1.2 | 1 | 0.8 |
| 8 | 0.8 | 1 | 0.8 |
| 9 | 1.2 | 1.2 | 1 |
| 10 | 1 | 1.2 | 0.8 |
| 11 | 1 | 0.8 | 1.2 |
| 12 | 0.8 | 1.2 | 1 |
| 13 | 1.2 | 0.8 | 1 |
表11设计点固有频率计算结果
| 试验序号 | 第 1 阶 | 第 2 阶 | 第 3 阶 | 第 4 阶 | 第 5 阶 |
|---|---|---|---|---|---|
| 1 | 31.577 | 36.72 | 41.329 | 46.916 | 101.63 |
| 2 | 28.474 | 32.812 | 37.12 | 41.064 | 93.588 |
| 3 | 33.283 | 38.095 | 43.158 | 47.318 | 109.05 |
| 4 | 29.979 | 34.686 | 39.117 | 43.972 | 96.131 |
| 5 | 30.181 | 34.542 | 39.155 | 42.783 | 100.46 |
| 6 | 33.29 | 38.527 | 43.489 | 48.667 | 108.03 |
| 7 | 33.011 | 38.101 | 42.97 | 48.297 | 104.43 |
| 8 | 29.989 | 34.226 | 38.777 | 42.486 | 96.576 |
| 9 | 34.62 | 39.784 | 44.975 | 49.928 | 110.66 |
| 10 | 33.032 | 37.696 | 42.683 | 46.954 | 104.17 |
| 11 | 30.203 | 35.035 | 39.546 | 44.281 | 98.762 |
| 12 | 31.592 | 35.851 | 40.674 | 44.104 | 103.25 |
| 13 | 31.716 | 36.493 | 41.268 | 45.735 | 102.8 |



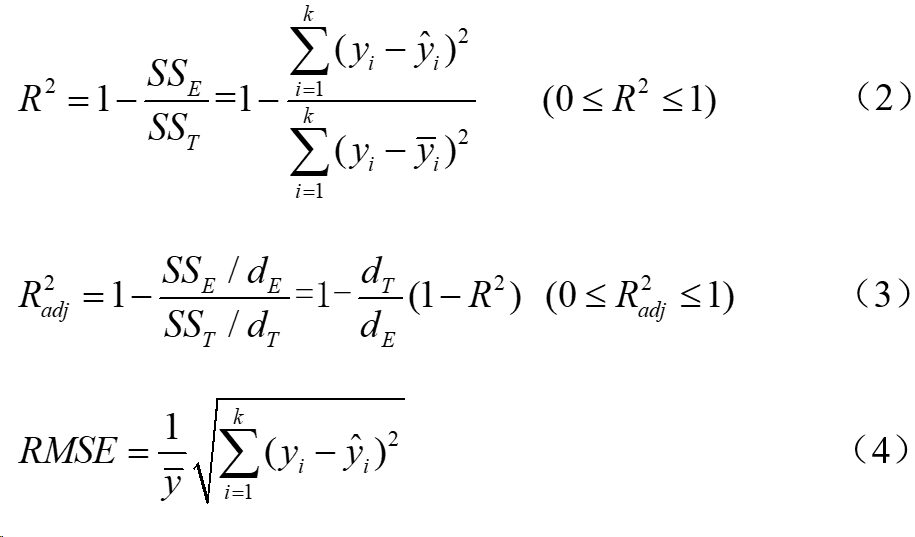
采用均方根误差(RMSE)对拟合得到的响应面模型精度进行判断见表12:
表12 前五阶模态频率均方根误差
| 第1阶 | 第2阶 | 第3阶 | 第4阶 | 第5阶 |
|---|---|---|---|---|
| 0.0179% | 0.0112% | 0.0071% | 0.0081% | 0.0393% |
表13 修正前后参数误差
| 归一化参数/MPa | 试验参数 | 修正参数/MPa | 误差 | |
|---|---|---|---|---|
| 梁弹性模量 | 0.875 | 17500 | 17500 | 0.00% |
| 1-2层柱弹性模量 | 0.959 | 37375 | 37401 | 0.04% |
| 3层柱弹性模量 | 1.063 | 34125 | 34016 | -0.32% |
表14 前5阶固有频率修正前后对比
| 阶数 | 试验Hz | 修正前/Hz | 修正后/Hz | 修正前误差/% | 修正后误差/% |
|---|---|---|---|---|---|
| 第1阶 | 30.435 | 31.695 | 30.414 | 4.14% | -0.0690% |
| 第2阶 | 34.956 | 36.46 | 34.959 | 4.30% | 0.0086% |
| 第3阶 | 39.575 | 41.228 | 39.558 | 4.18% | -0.0430% |
| 第4阶 | 43.584 | 45.705 | 43.57 | 4.87% | -0.0321% |
| 第5阶 | 99.907 | 102.47 | 99.87 | 2.57% | -0.0370% |
(完)
更多精彩,关注建源学堂!
欢迎关注微信公众号: 建源学堂






图 5修正前后的频率相对误差




